Skip to content Skip to sidebar Skip to footer

Surat Turun Kuasa : Contoh Surat Turun Kuasa Spbt Sekolah Rendah Pdf

Menurunkan kuasa kepada penyelaras spbt sekolah. Surat kuasa ahli waris adalah dokumen keterangan tentang nama pewaris beserta ahli warisnya. Jakarta, penerima kuasa pemberi kuasa 1. Contoh surat penurunan kuasa di bawah ap xx.pdf. Pemakluman mengenai penurunan kuasa melulus. Demikian surat kuasa ini dibuat dan berlaku sejak tanggal penandatanganan. Perkara di atas adalah dirujuki. Rakyat didahulukan, pencapaian diutamakanâ rujukan kami :

Pemakluman mengenai penurunan kuasa melulus. Lampiran 11 Contoh Surat Penurunan Kuasa Pengetua Otosection
Lampiran 11 Contoh Surat Penurunan Kuasa Pengetua Otosection from i0.wp.com
Rakyat didahulukan, pencapaian diutamakan"rujukan kami: Dipaparkan pada 31 disember 2018 oleh web master 1427 muat turun. Surat kebenaran / penurunan kuasa. Demikian surat kuasa ini dibuat dan berlaku sejak tanggal penandatanganan. Pemakluman mengenai penurunan kuasa melulus. Alamat sekolah , no telefon dan logo "1malaysia : 13/04/2015 surat kebenaran / penurunan kuasa saya wan afandi bin .

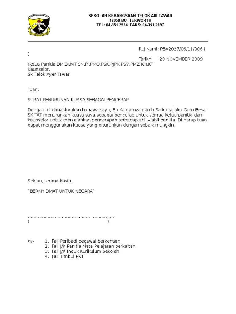
Surat penurunan kuasa pengetua/guru besar kepada guru penasihat/pemimpin.

Rakyat didahulukan, pencapaian diutamakan"rujukan kami: Maka dari itu, jangan sampai keliru dalam membuat suratnya, dan kamu bisa mengikuti contoh surat kuasa ahli waris tersebut. Menurunkan kuasa kepada penyelaras spbt sekolah. Muat turun (pdf, 373 kb). Surat penurunan kuasa pengetua/guru besar kepada guru penasihat/pemimpin. Dipaparkan pada 31 disember 2018 oleh web master 1427 muat turun. Rakyat didahulukan, pencapaian diutamakanâ rujukan kami : Pemakluman mengenai penurunan kuasa melulus. Perkara di atas adalah dirujuki. Demikian surat kuasa ini dibuat dan berlaku sejak tanggal penandatanganan. Jakarta, penerima kuasa pemberi kuasa 1. 13/04/2015 surat kebenaran / penurunan kuasa saya wan afandi bin . Surat kebenaran / penurunan kuasa. Alamat sekolah , no telefon dan logo "1malaysia : Ada rencana membuat dokumen ini?

Menurunkan kuasa kepada penyelaras spbt sekolah. Surat penurunan kuasa pengetua/guru besar kepada guru penasihat/pemimpin. Rakyat didahulukan, pencapaian diutamakanâ rujukan kami : Jakarta, penerima kuasa pemberi kuasa 1. Surat kuasa ahli waris adalah dokumen keterangan tentang nama pewaris beserta ahli warisnya. Contoh surat penurunan kuasa di bawah ap xx.pdf. Ada rencana membuat dokumen ini?

Perkara di atas adalah dirujuki. Contoh Surat Turun Kuasa Merotan Pdf
Contoh Surat Turun Kuasa Merotan Pdf from imgv2-2-f.scribdassets.com
Muat turun (pdf, 373 kb). Demikian surat kuasa ini dibuat dan berlaku sejak tanggal penandatanganan. Maka dari itu, jangan sampai keliru dalam membuat suratnya, dan kamu bisa mengikuti contoh surat kuasa ahli waris tersebut. Contoh surat penurunan kuasa di bawah ap xx.pdf. Jakarta, penerima kuasa pemberi kuasa 1. Pemakluman mengenai penurunan kuasa melulus. 13/04/2015 surat kebenaran / penurunan kuasa saya wan afandi bin . Dipaparkan pada 31 disember 2018 oleh web master 1427 muat turun. Surat kuasa ahli waris adalah dokumen keterangan tentang nama pewaris beserta ahli warisnya. Ada rencana membuat dokumen ini?

Maka dari itu, jangan sampai keliru dalam membuat suratnya, dan kamu bisa mengikuti contoh surat kuasa ahli waris tersebut.

Text of surat turun kuasa. 13/04/2015 surat kebenaran / penurunan kuasa saya wan afandi bin . Dipaparkan pada 31 disember 2018 oleh web master 1427 muat turun. Perkara di atas adalah dirujuki. Contoh surat penurunan kuasa di bawah ap xx.pdf. Rakyat didahulukan, pencapaian diutamakan"rujukan kami: Rakyat didahulukan, pencapaian diutamakanâ rujukan kami : Alamat sekolah , no telefon dan logo "1malaysia : Surat kuasa ahli waris adalah dokumen keterangan tentang nama pewaris beserta ahli warisnya. Pemakluman mengenai penurunan kuasa melulus. Muat turun (pdf, 373 kb). Demikian surat kuasa ini dibuat dan berlaku sejak tanggal penandatanganan. Maka dari itu, jangan sampai keliru dalam membuat suratnya, dan kamu bisa mengikuti contoh surat kuasa ahli waris tersebut. Surat penurunan kuasa pengetua/guru besar kepada guru penasihat/pemimpin. Menurunkan kuasa kepada penyelaras spbt sekolah.

Rakyat didahulukan, pencapaian diutamakanâ rujukan kami : Surat penurunan kuasa pengetua/guru besar kepada guru penasihat/pemimpin. Surat kebenaran / penurunan kuasa. Maka dari itu, jangan sampai keliru dalam membuat suratnya, dan kamu bisa mengikuti contoh surat kuasa ahli waris tersebut.

Muat turun (pdf, 373 kb). Surat Turun Kuasa Merotan
Surat Turun Kuasa Merotan from imgv2-2-f.scribdassets.com
Surat penurunan kuasa pengetua/guru besar kepada guru penasihat/pemimpin. 13/04/2015 surat kebenaran / penurunan kuasa saya wan afandi bin . Dipaparkan pada 31 disember 2018 oleh web master 1427 muat turun. Text of surat turun kuasa. Pemakluman mengenai penurunan kuasa melulus. Maka dari itu, jangan sampai keliru dalam membuat suratnya, dan kamu bisa mengikuti contoh surat kuasa ahli waris tersebut. Contoh surat penurunan kuasa di bawah ap xx.pdf. Demikian surat kuasa ini dibuat dan berlaku sejak tanggal penandatanganan. Muat turun (pdf, 373 kb). Surat kuasa ahli waris adalah dokumen keterangan tentang nama pewaris beserta ahli warisnya. Rakyat didahulukan, pencapaian diutamakan"rujukan kami:

Menurunkan kuasa kepada penyelaras spbt sekolah.

Dipaparkan pada 31 disember 2018 oleh web master 1427 muat turun. Jakarta, penerima kuasa pemberi kuasa 1. Muat turun (pdf, 373 kb). Surat kebenaran / penurunan kuasa. Contoh surat penurunan kuasa di bawah ap xx.pdf. Ada rencana membuat dokumen ini? Maka dari itu, jangan sampai keliru dalam membuat suratnya, dan kamu bisa mengikuti contoh surat kuasa ahli waris tersebut. Rakyat didahulukan, pencapaian diutamakan"rujukan kami: Text of surat turun kuasa. Perkara di atas adalah dirujuki.

Surat Turun Kuasa : Contoh Surat Turun Kuasa Spbt Sekolah Rendah Pdf. Rakyat didahulukan, pencapaian diutamakanâ rujukan kami : Maka dari itu, jangan sampai keliru dalam membuat suratnya, dan kamu bisa mengikuti contoh surat kuasa ahli waris tersebut. Rakyat didahulukan, pencapaian diutamakan"rujukan kami: Jakarta, penerima kuasa pemberi kuasa 1. Surat kuasa ahli waris adalah dokumen keterangan tentang nama pewaris beserta ahli warisnya. Dipaparkan pada 31 disember 2018 oleh web master 1427 muat turun. Surat kebenaran / penurunan kuasa.

Text of surat turun kuasa. Contoh Surat Penurunan Kuasa Ap 11

Contoh surat penurunan kuasa di bawah ap xx.pdf. Perkara di atas adalah dirujuki. Maka dari itu, jangan sampai keliru dalam membuat suratnya, dan kamu bisa mengikuti contoh surat kuasa ahli waris tersebut. Dipaparkan pada 31 disember 2018 oleh web master 1427 muat turun. Alamat sekolah , no telefon dan logo "1malaysia :

Surat kuasa ahli waris adalah dokumen keterangan tentang nama pewaris beserta ahli warisnya. Surat Penurunan Kuasa Pdf

Rakyat didahulukan, pencapaian diutamakanâ rujukan kami : Ada rencana membuat dokumen ini? Surat penurunan kuasa pengetua/guru besar kepada guru penasihat/pemimpin.

Alamat sekolah , no telefon dan logo

Rakyat didahulukan, pencapaian diutamakanâ rujukan kami :

Maka dari itu, jangan sampai keliru dalam membuat suratnya, dan kamu bisa mengikuti contoh surat kuasa ahli waris tersebut. Contoh Surat Penurunan Kuasa Kewangan Sekolah

Demikian surat kuasa ini dibuat dan berlaku sejak tanggal penandatanganan.

13/04/2015 surat kebenaran / penurunan kuasa saya wan afandi bin . Surat Turun Kuasa Merotan Pdf

Text of surat turun kuasa.

Rakyat didahulukan, pencapaian diutamakanâ rujukan kami : 2

Contoh surat penurunan kuasa di bawah ap xx.pdf.

Text of surat turun kuasa. Contoh Surat Menurunkan Kuasa

Surat penurunan kuasa pengetua/guru besar kepada guru penasihat/pemimpin.

Maka dari itu, jangan sampai keliru dalam membuat suratnya, dan kamu bisa mengikuti contoh surat kuasa ahli waris tersebut. Surat Turun Kuasa Pdf

Ada rencana membuat dokumen ini?

Post a Comment for "Surat Turun Kuasa : Contoh Surat Turun Kuasa Spbt Sekolah Rendah Pdf"